產品展廳
|
產品詳請
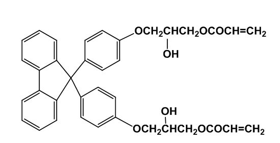
環氧丙基雙酚芴*酯,學名又叫 9,9-雙[4-(2-*酰氧基乙氧基)苯基]芴,分子式為C37H36O8,分子量608.358 g/mol。
其外觀為無色或微黃色透明粘稠狀液體粘度大概在5000-20000之間,折光率在1.6000-1.6200,APHA色度(Colority)≤ 100 Hazen,液相純度(HPLC)≥90.0%。

ronnie@sinocoalchem.com
15733787306